U.S. Centennial of Flight Commission home page

 


Lift at various Reynolds numbers

Effects of streamlining at various Reynolds numbers.


 


Drag coefficient over various bodies

Drag coefficients of various bodies.


 


Drag at various Reynolds numbers

Drag coefficients as function of Reynolds number.


Aerodynamic Resistance and the Use of Aerodynamic Coefficients

A streamlined shape has much less drag than a non-streamlined shape. Whatever drag exists for a streamlined shape is composed primarily of skin-friction drag with the pressure drag being very small. The increase in skin-friction drag occurs because the streamlined body has more area exposed to the airflow and thus has a greater area over which the boundary layer may act. A streamlined shape also experiences almost no boundary-layer separation.

However, the shape of a body or different airspeeds encountered cannot explain all aerodynamic results relating to the amount of drag. A better measure of performance is needed. This measure is the non-dimensional drag coefficient.

From everyday experience, consider the factors that determine the aerodynamic resistance on a body. If one places his hand perpendicular to the airflow outside a car window that is traveling at 20 kilometers per hour (about 12 miles per hour), little resistance is felt, but if one speeds along at 100 kilometers per hour (about 62 miles per hour), the force felt is considerable. Velocity is one factor that determines resistance. In fact, considering the flow problems of subsonic flight, the resistance depends directly on (velocity) multiplied by (velocity) or (velocity)2. Although a body moving at a velocity of 100 kilometers per hour has a velocity that is five times that of a body moving at 20 kilometers per hour, the aerodynamic resistance is about 25 times as great at the higher velocity.

If one walks along a beach, there is little aerodynamic resistance. But try to wade in the water at the same speed. It is considerably more difficult, if not impossible. The density of water is much greater than the density of air. Density of the fluid is another determining factor in the resistance felt by a body.

One more experiment: hold a small piece of cardboard up against a stiff wind. Little resistance is experienced. Now hold a much larger but similarly shaped sheet of cardboard up against the same stiff wind. A considerable resistance is felt. Area (or length multiplied by length) exposed to the airflow is another determining factor of resistance.

We can now state that, in the flow of real fluid—air—about a body, the aerodynamic resistance depends on the size, shape, and attitude of the body (its direction with respect to the airflow—angle of attack); the properties of the fluid, e.g., its density and pressure; and the relative velocity between the body and the fluid (air). To illustrate, consider the lift force, defined as the aerodynamic reaction perpendicular to the direction of the airflow. Lift depends on size, shape, attitude, fluid properties, and velocity. For an ideal fluid, the fluid properties (except for density) do not influence the lift force. For a real fluid, however, viscosity, elasticity (the reciprocal of compressibility), and turbulent properties are also important. In addition to the shape and attitude of the body, the surface roughness has an effect on the force. Thus,

Lift equation

(1)

where

r

density of the fluid

V

velocity of the fluid

S

body frontal area (surface area)

l (or D)

body length

a

attitude of body (angle of attack)

µ

coefficient of viscosity

a

speed of sound of fluid

For a wing, S is usually taken to be the planform area (chord length times wing span for a rectangular wing).

It has previously been shown that the quantity r V D/µ is the Reynolds number or R. Also, that

a/V

is defined to be the Mach number or M. The Reynolds number is the dimensionless quantity associated with the fluid viscosity whereas the Mach number is associated with the fluid compressibility. Surface roughness influences the transition from a laminar to a turbulent flow. Air turbulence represents the degree of the wake formed past the separation points. Furthermore, the effects of attitude and shape of a body are lumped together into the factor called K. Then,

Lift = rx V2 x S x K

(2)

The dynamic pressure of airflow was previously defined as 1/2 pV2 so if a value of 1/2 is included in equation (1) and the value of K is doubled to keep the equation the same, 2K may be replaced by CL. Finally,

Lift = CL x ½ rx V2 x S

Lift = CL x ½ rx V2 x S

(3)

Equation (3) is the fundamental lift formula for usual aircraft flight. CL is known as the coefficient of lift. The equation states simply that aerodynamic lift is determined by a coefficient of lift times the free-stream dynamic pressure r times the characteristic body area S.

It is very important to realize that the lift coefficient CL depends upon the Reynolds number, Mach number, surface roughness, air turbulence, attitude, and body shape. It is not a constant. CL is generally found by wind tunnel or flight experiments by measuring lift and the free-stream conditions and knowing the body dimensions. Thus,

Lift coefficient

(4)

The aerodynamic drag is the aerodynamic resistance parallel to the free-stream direction (the direction of the airflow). One obtains analogous equations to equations (3) and (4), namely,

Drag equation

(5)

or

Drag coefficient

(6)

where CD is the drag coefficient, dependent on the previously enumerated parameters.

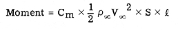
The moment acting on a body is a measure of the body's tendency to turn about its center of gravity. This moment represents the resultant aerodynamic force times a moment distance. A similar derivation may be applied to the moment equation as used for the lift and drag equations such that,

Moment equation

(7)

or

Coefficient of moment

(8)

Cm is the coefficient of moment and an additional characteristic length l is necessary for it to be dimensionally correct. To reiterate, CL, CD, and Cm are dependent on the Reynolds number, Mach number surface roughness, air turbulence, attitude, and body shape.

The point on an airfoil where the boundary layer changes from laminar to turbulent is called the transition point. The Reynolds numbers around that point are called the critical Reynolds numbers.

—Adapted from Talay, Theodore A. Introduction to the Aerodynamics of Flight. SP-367, Scientific and Technical Information Office, National Aeronautics and Space Administration, Washington, D.C. 1975. Available at http://history.nasa.gov/SP-367/cover367.htm

For Further Reading:

Anderson, Jr., John D. A History of Aerodynamics, Cambridge, England: Cambridge University Press, 1997.

Smith, Hubert. The Illustrated Guide to Aerodynamics, 2nd edition. Blue Ridge Summit, Pa.: TAB Books, 1992.

Wegener, Peter P. What Makes Airplanes Fly? New York: Springer-Verlag, 1991.

Educational Organization

Standard Designation  (where applicable

Content of Standard

International Technology Education Association

Standard 2

Students will develop an understanding of the core concepts of technology.

National Council of Teachers of Mathematics

N/A

Instructional programs from prekindergarten through grade 12 should enable all students to understand numbers, ways of representing numbers, relationships among numbers, and number systems.

National Science Education Standards

Content Standard A

As a result of activities in grades 9-12, all students should develop understandings about scientific inquiry.

National Science Education Standards

Content Standard B

As a result of activities in grades 9-12, all students should develop an understanding of motions and forces.